When Serverless runs on servers: new options for AWS Lambda and AWS Fargate with Managed Instances
04 March 2026 - 13 min. read
Damiano Giorgi
DevOps Engineer

In the previous article: "AWS data transfer costs in a nutshell" we explored AWS network costs in detail: inbound and outbound data transfer, traffic between Regions and Availability Zones, VPC peering, NAT Gateways, and VPC Endpoints.
The theory is clear, but how does it translate into practice?
It's time to move from abstraction to reality. In this article, we'll analyze three real-world scenarios of increasing complexity, demonstrating how a proper network cost analysis can lead to significant savings and more informed architectural decisions.
Get your Jupyter Notebooks ready: it's time to do the math.
An application hosted on AWS uses MongoDB Atlas as its database. Currently, access is via public endpoints, but we're asked to evaluate whether it's worth investing time in setting up a VPC peering to the VPC provided by MongoDB.
The substantial difference between the two solutions lies in the network path:
Let's consider a MongoDB M10 instance ($57/month) and analyze the network costs for both solutions.
Costs include:
The total cost formula is:
CostSaaS-M10 = ClusterM10 + NAThourly × 730 + V × (NATprocessing + Internetout)
where V represents the monthly traffic volume (V will have the same meaning for the following formulas).
MongoDB Atlas does not charge for VPC peering. Charges are limited to AWS traffic:
A complication arises here: Availability Zones are not aligned across different AWS accounts. The identifier eu-west-1a in our account does not necessarily correspond to eu-west-1a in the MongoDB account. Without being able to guarantee same-AZ placement, we must assume cross-AZ traffic.
The formula becomes:
CostPeering-M10 = ClusterM10 + V × (CrossAZin + CrossAZout)
Use: Cross-AZ traffic costs $0.01/GB in both directions (in and out of AZ), for a total of $0.02/GB on peering.
Let's calculate the cost difference:
ΔCostM10(V) = CostSaaS-M10 − CostPeering-M10
ΔCostM10(V) = [ClusterM10 + NAThourly × 730 + V × (NATprocessing + Internetout)] − [ClusterM10 + V × (CrossAZin + CrossAZout)]
ΔCostM10(V) = NAThourly × 730 + V × [(NATprocessing + Internetout) − (CrossAZin + CrossAZout)]
ΔCostM10(V) = $35.04 + V × 0.118
The result is always positive: VPC peering generates savings in every traffic scenario.

The graph highlights two fundamental aspects:
Even with very high traffic volumes (over 10TB/month), the cost of cross-AZ data transfer on peering does not even reach the cost of the NAT Gateway alone of the public solution.
VPC peering to MongoDB Atlas is cost-effective for any traffic scenario. In addition to the economic benefits, there are:
It is worth noting that, even assuming cross-AZ traffic (worst-case scenario), there is a statistical probability of obtaining a same-AZ matching, which would make the savings even greater thanks to the absence of peering costs.
A client commissioned us to design an architecture to back up on-premise servers to S3. The requirements were:
The customer already has a Direct Connect connection to AWS with a Transit Gateway configured.
As always in architecture, it is essential to validate requirements before accepting them uncritically.
We understand the reasoning: having already invested in a Direct Connect, it seems logical to use it for every use case. However, for traffic to S3, AWS provides optimized public connectivity and, more importantly, Data transfer IN to AWS is free.
The question becomes: how much does this traffic “privacy” really cost?
In this case, our variable will be the volume in GB to be backed up to S3 Standard on a monthly basis.
The traffic route is:
On-premise → Direct Connect → Transit Gateway → VPC → VPC Endpoint (S3) → S3

Costs include:
Therefore the total cost of option A is:
CostPrivate = DCPortHours + TGAttachmenthourly × 730 + (V × TGprocessing) + S3Storage + S3API
CostPrivate = $219 + $36.50 + (V × $0.02) + S3Storage + API Costs
CostPrivate = $255.50 + (V × $0.02) + S3Storage + API Costs
In fact, if Direct Connect is already present, it is possible to exclude it from the total cost:
CostPrivate = $36.50 + (V × $0.02) + S3Storage + API Costs
The path is simply:
On-premise → Internet → S3

The costs are:
CostPublic = S3Storage + S3API
At this point it is very simple to make the difference between the two costs:
ΔCost(V) = CostPrivate − CostPublic
ΔCost(V) = $36.50 + (V × $0.02)

The graphic analysis reveals an unequivocal picture:
There is no break-even point: the public solution is always more cost-effective, regardless of data volume.
For completeness, we mention a third option: using an AWS Direct Connect Public VIF instead of the Private VIF with Transit Gateway. This solution keeps traffic on the dedicated Direct Connect connection (avoiding transit over the public internet) but eliminates the need for the Transit Gateway, significantly reducing costs. A detailed analysis of this option is beyond the scope of this article, but it represents an interesting alternative for specific contexts.
Economic analysis is not the only factor in the decision. A private solution can be justified in the presence of:
From a purely economic standpoint, the public solution is superior in every scenario. The savings range from a factor of 5-10x for small volumes to a factor of 2x for large volumes.
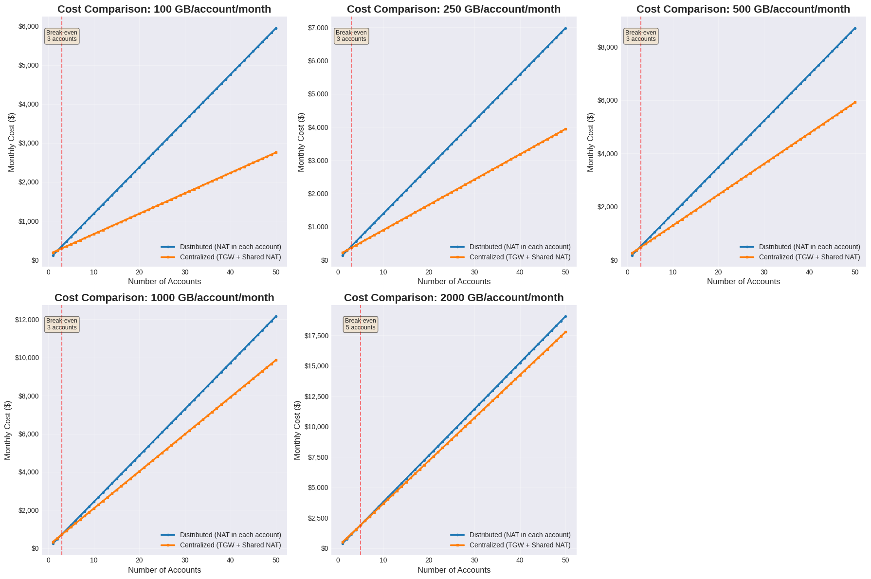
An AWS organization with dozens of accounts finds itself managing a large number of distributed NAT Gateways. Each account has a VPC with three NAT Gateways (one per Availability Zone), generating significant monthly costs even when there is no traffic.
The question arises spontaneously: does it make sense to maintain a NAT Gateway in each account, or is it better to centralize internet egress in a dedicated account, reachable from other accounts via a Transit Gateway?
This architectural decision has implications that go beyond the purely economic aspect:
In this article, we will focus exclusively on economic analysis, but it is essential to consider these aspects in a real evaluation.
Let's consider an organization with N AWS accounts, each with a VPC and three NAT Gateways (one per AZ).
Each account has:
CostDistributed = N × (NATper_AZ × AZCount × NAThourly × 730 + Vper_account × NATprocessing) + V × Internetout
Substituting some variables we arrive at:
CostDistributed = N × (3 × $0.048 × 730 + Vper_account × $0.048) + V × Internetout
CostDistributed = N × ($105.12 + Vper_account × $0.048) + InternetEgressCost
We leave the cost of outgoing traffic expressed as a variable, as it will also be present in the second case, therefore it is not necessary to calculate it for comparison purposes.
Architecture:
VPC spoke → Transit Gateway → VPC egress → NAT Gateway → Internet
Costs involved:
CostCentralized = (N + 1) × TGAttachmenthourly × 730 + NATcount × NAThourly × 730 + V × (TGprocessing + NATprocessing + Internetout)
Substituting some variables we arrive at:
CostCentralized = (N + 1) × $0.05 × 730 + 3 × $0.048 × 730 + V × ($0.02 + $0.048) + InternetEgressCost
CostCentralized = (N + 1) × $36.50 + $105.12 + V × $0.068 + InternetEgressCost
CostCentralized = ($36.50 + $105.12) + N × $36.50 + V × $0.068 + InternetEgressCost
CostCentralized = $141.62 + N × $36.50 + V × $0.068 + InternetEgressCost
We're dealing with a function with two variables: traffic and number of accounts. We need to analyze both.

By setting the traffic volume at different levels (1TB, 5TB, 10TB, 50TB, 100TB), we observe that:
If we want to avoid fixing the traffic variable, a two-dimensional graph is no longer sufficient; we must therefore move from a straight line to a plane. The three-dimensional graph offers a complete view of the cost trend as both variables vary simultaneously.

The three-dimensional graph shows the same trend as above. The greatest savings are achieved with a high number of accounts and low traffic.
This graph highlights another interesting piece of information: although very high amounts of traffic can make centralizing NAT Gateways not very economically advantageous, for accounts with more than ten accounts it is almost impossible to find yourself in this situation.
The three-dimensional graph, although complete, can be difficult to read. To simplify the visualization, we have created a two-dimensional graph that shows the cost difference (green zone = savings, red zone = additional cost) as a function of account and traffic.

The economic analysis clearly indicates that centralizing NAT Gateways is cost-effective in most real-world scenarios, in particular:
Centralization is convenient when:
Distribution may be preferable in the rare situations where:
Through these three real-world cases, we've shown that careful analysis of AWS network costs can lead to significant savings and more informed architectural decisions. The key lesson is clear: question initial requirements and validate them with concrete data, even when they appear to stem from logical choices or investments already made. Fixed costs like NAT Gateway and Transit Gateway have a huge impact on workloads with limited traffic, while the scale of the organization can completely overturn the economics. The time invested in initial optimization typically pays for itself within a few months of operation.
Proud2beCloud is a blog by beSharp, an Italian APN Premier Consulting Partner expert in designing, implementing, and managing complex Cloud infrastructures and advanced services on AWS. Before being writers, we are Cloud Experts working daily with AWS services since 2007. We are hungry readers, innovative builders, and gem-seekers. On Proud2beCloud, we regularly share our best AWS pro tips, configuration insights, in-depth news, tips&tricks, how-tos, and many other resources. Take part in the discussion!